Top.Mail.Ru
armenia@dia-m.ru 8 (800) 234-05-08
(+374 94) 010173
Ваш регион Москва?
Химические реактивы - буква «»

Электрофорез нуклеиновых кислот

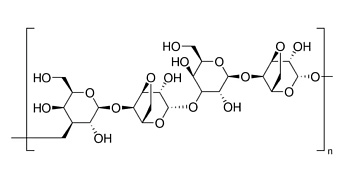
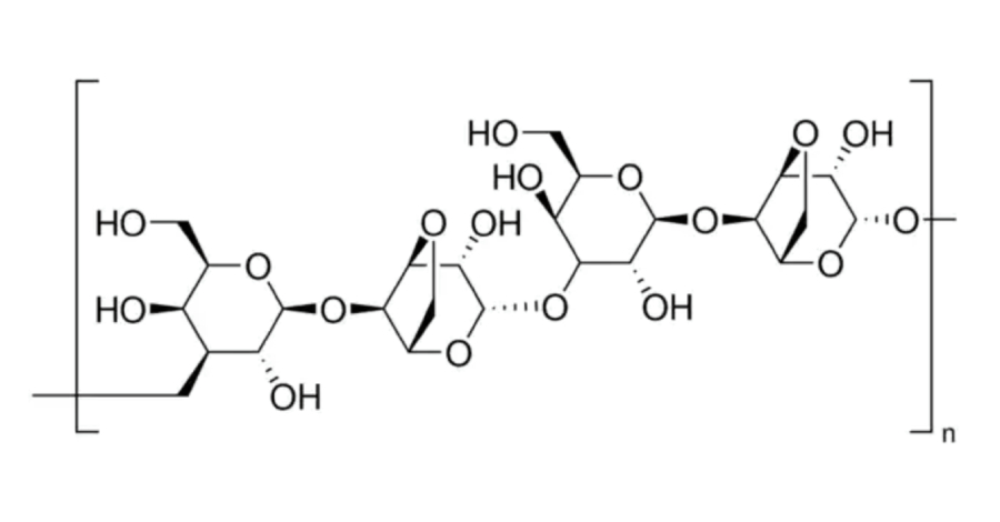
Электрофорез — один из важнейших методов в молекулярной биологии, применяемый для аналитического и препаративного разделения фрагментов ДНК или РНК в зависимости от их длины. Метод основан на различной подвижности молекул в агарозном или полиакриламидном геле под действием электрического поля. Как правило, для электрофореза нуклеиновых кислот используется агарозный гель. Диаэм предлагает широкий выбор агароз для различных экспериментальных задач, а также маркеры длин ДНК, буферные растворы и другие реагенты для электрофореза, красители для визуализации нуклеиновых кислот в геле и оборудование для горизонтального, препаративного и пульс-электрофореза нуклеиновых кислот.
Каталоги, статьи, видео
Фильтр
Все производители
Все категории
Фильтр
Доступность
  • На складе
  • В транзите
  • В транзите и на складе
  • Все товары
16500500
500 г
Ультрачистая агароза UltraPure используется для аналитического и препаративного разделения нуклеиновых кислот в агарозном геле с помощью метода электрофореза.

Особенности агарозы UltraPure

Агарозы UltraPure имеет следующие особенности:

  • мягкая, гибкая, лёгкая, компактная упаковка;
  • протестирована на соответствие требованиям для гель-электрофореза;
  • может быть использована для электрофореза белков;
  • формирует плотные, гомогенные гели.
  • диапазон разделения РНК и ДНК фрагментов от 100 до 30000 п.о.

Условия хранения и перевозки — при температуре от 15 до 30°C.
diaGene, Россия
Агароза, высокий EEO, D1, (аналог арт. 911010.10 gm, CDH)
1928.0025
25 г
1928.0100
100 г
1928.0500
500 г
49 072 руб.
540,= EUR
1928.1000
1 кг


Содержание ДНКаз/ РНКаз/протеаз не обнаружено
Электроэндоосмос, ЕЕО 0,23 - 0,26
Точка плавления 1,5 % геля, °C 88 ± 1,5
Температура гелеобразования 1,5 % геля, °C 36 ± 1,5
Влажность, % не более 7
Зола, % не более 1,0
Сульфаты, % 0,2
Прочность геля 1 %, г/см² не менее 750
Прозрачность 1,5%, NTU не более 4
Условия хранения при комнатной температуре

Индекс риска

R10Огнеопасно
R36/37/38Раздражает глаза, органы дыхания и кожу
Индекс риска (R)
10-36/37/38

Индекс безопасности

S16Хранить вдали от источников возгорания — Не курить
S26В случае попадания в глаза немедленно промыть глаза большим количеством воды и обратиться за медицинской помощью
S36Наденьте соответствующую защитную одежду
Индекс безопасности (S)
16-26-36
CDH, Индия
Агароза, высокий EEO, для молекулярной биологии, (аналоги: арт. 1928.0025, арт. 1928.0100, арт. 1928.0500, diaGene)
911010.10gm
10 г
1 974 руб.
25,= USD
911010.25gm
25 г
4 250 руб.
54,= USD
911010.100 gm
100 г
16 449 руб.
210,= USD
911010.500 gm
500 г
46 526 руб.
594,= USD

Агароза с высоким EEO подходит для разделения белков методами иммунодиффузии и противоточного иммуноэлектрофореза.

Характеристики

  • Электроэндоосмос, EEO — 0,25- 0,30;
  • температура полимеризации (1.5% геля), °C — 36+1,5;
  • влажность, % — 10;
  • зола, % — 1;
  • сульфаты, % — 0,3;
  • белый порошок;
  • прочность 1,5% геля, г/см — 800;
  • не содержит ДНКазы, РНКазы, протеазы.
R0801
25 г
76 321 руб.
76 321 руб. RUB

Агароза TopVision - легкоплавкая агароза, предназначенная для препаративного разделения фрагментов нуклеиновых кислот методом электрофореза, а также для постановки ферментативных реакций в геле.

Оптимальная концентрация - 0.7 - 2%

Имеет сертификат GQ (genetic quality), что означает пригодность очищенных с её помощью нуклеиновых кислот для молекулярно-биологических экспериментов.

Не содержит ДНКаз и РНКаз.

Не связывает ДНК и РНК.

Пригодна для анализа РНК.

Формирует прозрачный гель.

Области применения:

  • аналитический электрофорез нуклеиновых кислот

  • препаративный электрофорез

  • ферментативные реакции в геле

Условия хранения: комнатная температура.

Servicebio, Китай
Агароза, низкий EEO
GC205013-100G
100 г
5 424 руб.
470 CNY

Агароза с низким EEO — полисахарид, используемый для разделения нуклеиновых кислот по размерам при электрофорезе в агарозном геле. Идеально подходит для расщепления фрагментов ДНК и РНК от 50 п.н. до >30 кб.

Особенности

  • Идеально подходит для анализа и восстановления ДНК и РНК в обычных условиях;
  • прочная гелевая структура обеспечивает лучшую управляемость и меньшую ломкость.

Протокол:
  • рекомендуется использовать 0,5 буфера TBE (арт. G3002) или 1 буфер TAE (арт. G3001) для приготовления соответствующего количества гелевого препарата и буфера для электрофореза;
  • в зависимости от количества геля и концентрации геля соответствующее количество порошка агарозы добавляют в стеклянную коническую колбу, содержащую определенное количество буфера для электрофореза (объем добавляемого буфера для электрофореза не должен превышать 50% емкости конической колбы).
  • коническую колбу, накрытую сверху полиэтиленовой пленкой и помещают в микроволновую печь для нагревания и растворения агарозы.
  • к агарозе следует добавить соответствующее количество красителей на основе нуклеиновых кислот, таких как нетоксичный краситель на основе нуклеиновых кислот SerRed (арт. G3606) или бромид этидия EB (арт. G3010), когда раствор остынет примерно до 50 °C его следует хорошо перемешать.
  • раствор наливают в форму для заливки геля. Не касаясь дна формы помещают гребенки. Толщина геля обычно контролируется в пределах 3-5 мм.
  • агарозный гель может затвердевать примерно за 30 минут при комнатной температуре (время затвердевания различных концентраций геля различно и подбирается в зависимости от реальной ситуации).

Вид

Порошок от белого до темно-коричневого цвета

Прочность геля 1% , г/см²

Не менее 1200

Температура гелеобразования, °С

36±1,5

Температура плавления 1,5% геля, °С

88±1,5

Электроосмотическое значение, %

Не более 0,13

Сульфаты, %

Не более 0,15

Влажность, %

Не более 10

diaGene, Россия
Агароза, низкий EEO, D1
1929.0025
25 г
3 269 руб.
36,= EUR
1929.0100
100 г
13 028 руб.
143,= EUR
1929.0500
500 г
49 456 руб.
545,= EUR
1929.1000
1 кг
84 062 руб.
926,= EUR

Для разделения фрагментов НК более 1000 п.н.; для аналитического и препаративного электрофореза НК, блоттинга, радиальной иммунодиффузии


Скачать:
Агароза D1, техническая инструкция, англ., 1 стр., 95 kB


См. также:
Таблица выбора агарозы в зависимости от размеров целевых фрагментов.



Содержание ДНКаз/ РНКаз/протеаз не обнаружено
Электроэндоосмос ЕЕО 0,05 - 0,13
Точка плавления 1,5 % геля, °C 85 ± 5
Температура гелеобразования 1,5 % геля, °C 35 ± 3
Влажность, % не более 0,4
Сульфаты, % 0,1
Прочность геля 1 %, г/см² не менее 1200
Прозрачность 1,5%, NTU не более 3
Условия хранения при комнатной температуре

Индекс риска

R10Огнеопасно
R36/37/38Раздражает глаза, органы дыхания и кожу
Индекс риска (R)
10-36/37/38

Индекс безопасности

S16Хранить вдали от источников возгорания — Не курить
S26В случае попадания в глаза немедленно промыть глаза большим количеством воды и обратиться за медицинской помощью
S36Наденьте соответствующую защитную одежду
Индекс безопасности (S)
16-26-36
diaGene, Россия
Агароза, низкий EEO, D1, GQT, Genetic Quality Tested
1932.0025
25 г
4 086 руб.
45,= EUR
1932.0100
100 г
1932.0500
500 г
51 130 руб.
563,= EUR
1932.1000
1 кг
Для разделения фрагментов НК более 1000 п.н.; для аналитического и препаративного электрофореза НК, блоттинга. Genetic Quality Tested – тестирована на проведение препаративного электрофореза и восстановление ДНК без повреждения структуры и свойств.


Скачать:
Агароза D1, техническая инструкция, англ., 1 стр., 95 kB



См. также:
Таблица выбора агарозы в зависимости от размеров целевых фрагментов.




Содержание ДНКаз/ РНКаз/протеаз не обнаружено
Электроэндоосмос, ЕЕО 0,05 - 0,13
Точка плавления 1,5 % геля, °C 88 ± 1,5
Температура гелеобразования 1,5 % геля, °C 36 ± 1,5
Влажность, % не более 7
Зола, % не более 0,4
Сульфаты, % 0,1
Прочность геля 1 %, г/см² не менее 1200
Прозрачность 1,5%, NTU не более 3
Условия хранения при комнатной температуре

Индекс риска

R10Огнеопасно
R36/37/38Раздражает глаза, органы дыхания и кожу
Индекс риска (R)
10-36/37/38

Индекс безопасности

S16Хранить вдали от источников возгорания — Не курить
S26В случае попадания в глаза немедленно промыть глаза большим количеством воды и обратиться за медицинской помощью
S36Наденьте соответствующую защитную одежду
Индекс безопасности (S)
16-26-36
diaGene, Россия
Агароза, низкий EEO, D5, повышенная прочность геля
1950.0025
25 г
5 630 руб.
62,= EUR
1950.0100
100 г
20 430 руб.
225,= EUR
1950.0500
500 г
61 743 руб.
680,= EUR

Для разделения фрагментов НК более 1000 п.н.; для электрофореза НК , блоттинга, пульс-гель электрофореза. Повышенная прочность геля позволяет готовить гель низкой концентрации (0,3%) для разделения высокомолекулярных НК, а также больших частиц, как вирусы и рибосомы. Высокая электрофоретическая подвижность; широкий диапазон концентраций геля.

Скачать:
Агароза D5, техническая инструкция, англ., 1 стр., 137 kB


См. также:
Таблица выбора агарозы в зависимости от размеров целевых фрагментов.




Содержание ДНКаз/ РНКаз/протеаз не обнаружено
Электроэндоосмос, ЕЕО не более 0,12
Точка плавления 1,5 % геля, °C 88 ± 1,5
Температура гелеобразования 1,5 % геля, °C 36 ± 1,5
Влажность, % не более 7
Зола, % не более 0,25
Сульфаты, % 0,12
Прочность геля 1 %, г/см² не менее 1800
Прозрачность 1,5%, NTU не более 4
Условия хранения при комнатной температуре

Индекс риска

R10Огнеопасно
R36/37/38Раздражает глаза, органы дыхания и кожу
Индекс риска (R)
10-36/37/38

Индекс безопасности

S16Хранить вдали от источников возгорания — Не курить
S26В случае попадания в глаза немедленно промыть глаза большим количеством воды и обратиться за медицинской помощью
S36Наденьте соответствующую защитную одежду
Индекс безопасности (S)
16-26-36
diaGene, Россия
Агароза, низкий EEO, E, для рутинного электрофореза
1927.0025
25 г
2 906 руб.
32,= EUR
1927.0100
100 г
10 090 руб.
111,= EUR
Для разделения фрагментов НК от 250 п.н. до 23 тыс.п.н.; для аналитического и препаративного электрофореза НК, разделения плазмид для клонирования, блоттинга, радиальной иммунодиффузии. Оптимальная концентрация геля 0,75-2,0 %.

Скачать:
Агароза E, техническая инструкция, англ., 1 стр., 442 kB

См. также:
Таблица выбора агарозы в зависимости от размеров целевых фрагментов.


Содержание ДНКаз/ РНКаз/протеаз не обнаружено
Точка плавления 1,5 % геля, °C 88 ± 1,5
Температура гелеобразования 1,5 % геля, °C 36 ± 1,5
Влажность, % не более 7
Зола, % не более 0,45
Сульфаты, % 0,1
Прочность геля 1 %, г/см² не менее 1000
Прозрачность 1,5%, NTU не более 4
Условия хранения при комнатной температуре

Индекс риска

R10Огнеопасно
R36/37/38Раздражает глаза, органы дыхания и кожу
Индекс риска (R)
10-36/37/38

Индекс безопасности

S16Хранить вдали от источников возгорания — Не курить
S26В случае попадания в глаза немедленно промыть глаза большим количеством воды и обратиться за медицинской помощью
S36Наденьте соответствующую защитную одежду
Индекс безопасности (S)
16-26-36
diaGene, Россия
Агароза, низкий EEO, FP DNA, для ДНК-фингерпринтирования
1951.0100
100 г
1951.0250
250 г
1951.0500
500 г
Для разделения фрагментов НК более 1000 п.н.; для электрофореза НК , блоттинга, ДНК-фингерпринтирования. Не размывается, фрагменты при разделении четкие; нет различия по качеству между партиями.


Скачать:
Агарозы D2 и FP DNA, техническая инструкция, англ., 1 стр., 69 kB

См. также:
Таблица выбора агарозы в зависимости от размеров целевых фрагментов.



Содержание ДНКаз/ РНКаз/протеаз не обнаружено
Электроэндоосмос, ЕЕО не более 0,13
Точка плавления 1,5 % геля, °C 88 ± 1,5
Температура гелеобразования 1,5 % геля, °C 36 ± 1,5
Влажность, % не более 7
Зола, % не более 0,4
Сульфаты, % 0,14
Прочность геля 1 %, г/см² не менее 1400
Условия хранения при комнатной температуре

Индекс риска

R10Огнеопасно
R36/37/38Раздражает глаза, органы дыхания и кожу
Индекс риска (R)
10-36/37/38

Индекс безопасности

S16Хранить вдали от источников возгорания — Не курить
S26В случае попадания в глаза немедленно промыть глаза большим количеством воды и обратиться за медицинской помощью
S36Наденьте соответствующую защитную одежду
Индекс безопасности (S)
16-26-36
diaGene, Россия
Агароза, низкий EEO, LM, легкоплавкая, Genetic Quality Tested
1925,0025
25 г
16 525 руб.
182,= EUR


Для разделения фрагментов НК более 1000 п.н.; для аналитического и препаративного электрофореза НК. Низкая температура плавления позволяет проводить манипуляции с НК, не экстрагируя из геля. Genetic Quality Tested – гель подходит для обработки агаразой, что позволяет легко восстанавливать большие фрагменты ДНК для клонирования и энзиматического расщепления; подходит для энзиматической обработки НК (лигирования, расщепления) в геле без предварительной экстракции.
Содержание ДНКаз/ РНКаз/протеаз не обнаружено
Электроэндоосмос, ЕЕО не более 0,12
Точка плавления 1,5 % геля, °C 65,5
Температура гелеобразования 1,5 % геля, °C 24-28
Влажность, % не более 7
Зола, % не более 0,4
Сульфаты, % 0,12
Прочность геля 1,5 %, г/см² не менее 500
Прозрачность 1,5%, NTU не более 4
Условия хранения при комнатной температуре
Скачать:
Агарозы LM и LM GQT, техническая инструкция, англ., 1 стр., 157 kB
См. таже:
Какие факторы необходимо учитывать при выборе типа агарозы.
Таблица выбора агарозы в зависимости от задачи исследования.
Таблица выбора агарозы в зависимости от размеров целевых фрагментов.
Индекс риска (R) 10-36/37/38
Индекс безопасности (S) 16-26-36

Индекс риска

R10Огнеопасно
R36/37/38Раздражает глаза, органы дыхания и кожу
Индекс риска (R)
10-36/37/38

Индекс безопасности

S16Хранить вдали от источников возгорания — Не курить
S26В случае попадания в глаза немедленно промыть глаза большим количеством воды и обратиться за медицинской помощью
S36Наденьте соответствующую защитную одежду
Индекс безопасности (S)
16-26-36
diaGene, Россия
Агароза, низкий EEO, LM, легкоплавкая
1926.0025
25 г
17 070 руб.
188,= EUR
1926.0100
100 г
1926.0500
500 г
Для разделения фрагментов НК более 1000 п.н.; для аналитического и препаративного электрофореза НК. Низкая температура плавления позволяет проводить манипуляции с НК, не экстрагируя из геля.

Скачать: Агарозы LM и LM GQT, техническая инструкция, англ., 1 стр., 157 kB

См. таже:

Какие факторы необходимо учитывать при выборе типа агарозы. Таблица выбора агарозы в зависимости от задачи исследования. Таблица выбора агарозы в зависимости от размеров целевых фрагментов.



Содержание ДНКаз/ РНКаз/протеаз не обнаружено
Электроэндоосмос, ЕЕО не более 0,12
Точка плавления 1,5 % геля, °C 65,5
Температура гелеобразования 1,5 % геля, °C 24-28
Влажность, % не более 7
Зола, % не более 0,4
Сульфаты, % 0,12
Прочность геля 1,5 %, г/см² не менее 500
Прозрачность 1,5%, NTU не более 4
Условия хранения при комнатной температуре

Индекс риска

R10Огнеопасно
R36/37/38Раздражает глаза, органы дыхания и кожу
Индекс риска (R)
10-36/37/38

Индекс безопасности

S16Хранить вдали от источников возгорания — Не курить
S26В случае попадания в глаза немедленно промыть глаза большим количеством воды и обратиться за медицинской помощью
S36Наденьте соответствующую защитную одежду
Индекс безопасности (S)
16-26-36
diaGene, Россия
Агароза, низкий EEO, MS-12, Molecular Screening, повышенная четкость разделения фрагментов 50-1500 п.н.
1946.0025
25 г
11 166 руб.
123,= EUR
1946.0100
100 г
38 136 руб.
420,= EUR
Для разделения фрагментов НК 50- 1500 п.н., для электрофореза НК и ПЦР-продукта, блоттинга. По четкости разделения фрагментов аналогичен ПААГ; гель с повышенной прозрачностью, ломкость минимизирована. Широкий диапазон концентраций за счет повышенной прочности геля - 1-4 %.


Скачать:
Агарозы MS8 и MS12, техническая инструкция, англ., 1 стр., 108 kB


См. также:
Таблица выбора агарозы в зависимости от размеров целевых фрагментов.



Содержание ДНКаз/ РНКаз/протеаз не обнаружено
Электроэндоосмос, ЕЕО не более 0,12
Точка плавления 1,5 % геля, °C 93
Температура гелеобразования 1,5 % геля, °C 40,5
Влажность, % не более 7
Зола, % не более 0,35
Сульфаты, % 0,11
Прочность геля 4%, г/см² не менее 4200
Прозрачность 1,5 %, NTU не более 5
Условия хранения при комнатной температуре

Индекс риска

R10Огнеопасно
R36/37/38Раздражает глаза, органы дыхания и кожу
Индекс риска (R)
10-36/37/38

Индекс безопасности

S16Хранить вдали от источников возгорания — Не курить
S26В случае попадания в глаза немедленно промыть глаза большим количеством воды и обратиться за медицинской помощью
S36Наденьте соответствующую защитную одежду
Индекс безопасности (S)
16-26-36
1946.0500
500 г


Внешний вид Мелкий, однородный порошок
Зола Не более 0,35%
Прозрачность 1,5% (NTU) Не более 5
Сила геля 1,5% (г/см²) Не менее 2000
Активность ДНКазы / РНКазы не обнаружена EEO Не более 0,12
Влажность Не более 10%
Связывание с ДНК Очень низкое
Прочность геля 4% (г/см²) Не менее 4200
Температура гелеобразования 4% (°C) Не более 40 °C
Температура правления 4% (°C) Не более 93 °C
diaGene, Россия
Агароза, низкий EEO, MS-4, Molecular Screening, повышенная четкость разделения фрагментов менее 500 п.н.
1945.0025
25 г
15 890 руб.
175,= EUR
1945.0050
50 г
1945.0100
100 г
1945.0250
250 г
Для разделения фрагментов НК более 1000 п.н.; для электрофореза НК , блоттинга, ДНК-фингерпринтирования. Не размывается, фрагменты при разделении четкие; нет различия по качеству между партиями.

Скачать: Агарозы D2 и FP DNA, техническая инструкция, англ., 1 стр., 69 kB

См. таже:

Какие факторы необходимо учитывать при выборе типа агарозы. Таблица выбора агарозы в зависимости от задачи исследования. Таблица выбора агарозы в зависимости от размеров целевых фрагментов.



Содержание ДНКаз/ РНКаз/протеаз не обнаружено
Электроэндоосмос, ЕЕО не более 0,13
Точка плавления 1,5 % геля °C 88 ± 1,5
Температура гелеобразования 1,5 % геля °C 36 ± 1,5
Влажность % не более 7
Зола % не более 0,4
Сульфаты, % 0,14
Прочность геля 1 %, г/см² не менее 1400
Условия хранения при комнатной температуре
, , ,

Индекс риска

R10Огнеопасно
R36/37/38Раздражает глаза, органы дыхания и кожу
Индекс риска (R)
10-36/37/38

Индекс безопасности

S16Хранить вдали от источников возгорания — Не курить
S26В случае попадания в глаза немедленно промыть глаза большим количеством воды и обратиться за медицинской помощью
S36Наденьте соответствующую защитную одежду
Индекс безопасности (S)
16-26-36
diaGene, Россия
Агароза, низкий EEO, MS-6, Molecular Screening, повышенная четкость разделения фрагментов 150-750 п.н., (артикул арт. 911200.5 gm, CDH)
1953.0025ф
25 г
1953.0100
100 г
1953.0250
250 г
83 690 руб.
922,= EUR
Для разделения фрагментов НК 150-750 п.н.. По четкости разделения фрагментов аналогичен ПААГ; гель с повышенной прозрачностью, ломкость минимизирована. Оптимальная концентрация 3 %.

Скачать: Агарозы MS4 и MS6, техническая инструкция, англ., 1 стр., 138 kB

См. таже:

Какие факторы необходимо учитывать при выборе типа агарозы. Таблица выбора агарозы в зависимости от задачи исследования. Таблица выбора агарозы в зависимости от размеров целевых фрагментов.



Содержание ДНКаз/ РНКаз/протеаз не обнаружено
Электроэндоосмос, ЕЕО 75 не более 0,12
Точка плавления 1,5 % геля, °C 75
Температура гелеобразования 1,5 % геля, °C 35
Влажность, % не более 7
Зола, % не более 0,3
Сульфаты, % 0,1
Прочность геля 3%, г/см² не менее 800
Прозрачность 3 %, NTU не более 4
Условия хранения при комнатной температуре

Индекс риска

R10Огнеопасно
R36/37/38Раздражает глаза, органы дыхания и кожу
Индекс риска (R)
10-36/37/38

Индекс безопасности

S16Хранить вдали от источников возгорания — Не курить
S26В случае попадания в глаза немедленно промыть глаза большим количеством воды и обратиться за медицинской помощью
S36Наденьте соответствующую защитную одежду
Индекс безопасности (S)
16-26-36
diaGene, Россия
Агароза, низкий EEO, MS-8, Molecular Screening, повышенная четкость разделения фрагментов менее 1200 п.н.
1931.0025
25 г
10 442 руб.
115,= EUR
Для разделения фрагментов НК менее 1200 п.н., для электрофореза НК и ПЦР-продукта, блоттинга. По четкости разделения фрагментов аналогичен ПААГ; гель с повышенной прозрачностью, ломкость минимизирована.

См. также:
Таблица выбора агарозы в зависимости от размеров целевых фрагментов.



Содержание ДНКаз/ РНКаз/протеаз не обнаружено
Электроэндоосмос, ЕЕО не более 0,12
Точка плавления 1,5 % геля, °C 80
Температура гелеобразования 1,5 % геля, °C 35,5
Влажность, % не более 7
Зола, % не более 0,35
Сульфаты, % 0,11
Прочность геля 3%, г/см² не менее 1500
Прозрачность 1,5 %, NTU не более 5
Условия хранения при комнатной температуре

Индекс риска

R10Огнеопасно
R36/37/38Раздражает глаза, органы дыхания и кожу
Индекс риска (R)
10-36/37/38

Индекс безопасности

S16Хранить вдали от источников возгорания — Не курить
S26В случае попадания в глаза немедленно промыть глаза большим количеством воды и обратиться за медицинской помощью
S36Наденьте соответствующую защитную одежду
Индекс безопасности (S)
16-26-36
diaGene, Россия
Агароза, низкий EEO, Novagel, легкоплавкая, Genetic Quality Tested, (аналоги: арт. 4484.0100, арт. 4484.0500, Импорт; арт. 911120.100 gm, CDH, Индия)
1952.0025
25 г
1952.0050ДУ
50 г
1952.0100
100 г
1952.0250
250 г
Для разделения фрагментов НК и ПЦР продукта от 50 до 1000 п.н.; для аналитического и препаративного электрофореза НК; оптимальная концентрация 3-6%. Genetic Quality Tested – подходит для обработки агаразой, что позволяет легко восстанавливать небольшие фрагменты ДНК для клонирования и энзиматического расщепления; подходит для энзиматической обработки НК (лигирования, расщепления) в геле без предварительной экстракции.


Скачать:
Агароза LM Sieve и Novagel GQT, техническая инструкция, англ., 1 стр., 107 kB


См. также:
Таблица выбора агарозы в зависимости от размеров целевых фрагментов.



Содержание ДНКаз/ РНКаз/протеаз не обнаружено
Электроэндоосмос, ЕЕО не более 0,13
Точка плавления 1,5 % геля, °C 65
Температура гелеобразования 1,5 % геля, °C 35
Влажность, % не более 7
Зола, % не более 0,45
Сульфаты, % 0,12
Прочность геля 4 %, г/см² не менее 800
Прозрачность 4 %, NTU не более 6
Условия хранения при комнатной температуре

Индекс риска

R10Огнеопасно
R36/37/38Раздражает глаза, органы дыхания и кожу
Индекс риска (R)
10-36/37/38

Индекс безопасности

S16Хранить вдали от источников возгорания — Не курить
S26В случае попадания в глаза немедленно промыть глаза большим количеством воды и обратиться за медицинской помощью
S36Наденьте соответствующую защитную одежду
Индекс безопасности (S)
16-26-36
Импорт
Агароза, низкий EEO, для молекулярной биологии, (аналоги: арт. 911120, CDH; арт. 1952.0025, арт. 1952.0050ДУ, арт. 1952.0100, diaGene)
4484.0100
100 г
NEW
4484.0500
500 г
NEW
16 143 руб.
1 400 CNY

Универсальная агароза с низким электроэндоосмосом предназначена для гелевого электрофореза нуклеиновых кислот. Обеспечивает высокую контрастность зон и прозрачность геля. Подходит для разделения фрагментов ДНК/РНК, анализа продуктов ПЦР и рутинных молекулярно-биологических исследований. Произведена по технологии без применения органических растворителей.

Этот тип агарозы — базовый рабочий инструмент для проверки качества и разделения генетического материала. Это своего рода молекулярное сито: под действием тока фрагменты ДНК или РНК движутся сквозь гель, разделяясь строго по размеру. Исследователи используют эту агарозу в ежедневной практике, чтобы проверить, успешно ли прошла ПЦР (появилась ли нужная полоска на приборе), оценить чистоту выделенной из образцов ДНК, а также аккуратно вырезать и очистить конкретный фрагмент гена для дальнейшей работы. Буквы «Low EEO» (низкий электроэндоосмос) означают, что сито работает идеально ровно, молекулы не тормозят из-за дефектов самой матрицы, а полосы на снимке получаются четкими и не размываются, что исключает ошибки при чтении результатов.

Основные свойства

Агароза с низким EEO обладает рядом особенностей.

  • Высокое разрешение разделения.
  • Минимальный фоновый сигнал.
  • Отсутствие нуклеазной активности.
  • Высокая прочность готового геля.

Указанные свойства гарантируют высокую точность и воспроизводимость молекулярно-биологических анализов.

Низкий уровень электроэндоосмоса (Low EEO) предотвращает размытие полос, обеспечивая четкое визуальное разделение даже близких по размеру фрагментов ДНК и РНК. Это ускоряет работу, упрощает этап интерпретации данных.

Исключительная оптическая прозрачность матрицы минимизирует фоновый сигнал и рассеяние света. Это важно для качественного документирования результатов геля и обнаружения слабовыраженных полос.

Полное отсутствие примесей ДНКаз, РНКаз и ингибиторов ферментов защищает целевые нуклеиновые кислоты от деградации. Что позволяет безопасно выделять и использовать очищенные фрагменты для последующего клонирования, секвенирования или ПЦР.

Высокая механическая прочность геля (≥ 1200 г/см²) исключает разрывы пластины при заливке, извлечении гребенок, переносе на трансиллюминатор и проведении саузерн-/нозерн-блоттинга.

Способ заливки геля без комочков и пузырей

Правильная подготовка геля к использованию критична для получения корректных данных и воспроизводимости результатов. Она включает в себя несколько шагов.

  • Растворение. Навеску порошка необходимо залить буфером (TAE/TBE) в колбе, объем которой в 2-4 раза превышает объем раствора.
  • Нагрев. Нужно прогреть смесь в микроволновой печи интервалами по 30 секунд, аккуратно покачивая колбу, до полной прозрачности жидкости и исчезновения крупинок (нельзя допускать бурного кипения).
  • Охлаждение. Затем следует охладить раствор до 50-60 °C (колбу можно комфортно держать рукой) перед добавлением интеркалирующего красителя.
  • Заливка. Раствор в форму заливают медленно; при появлении пузырей оперативно нужно сдвинуть их к краям или удалить с помощью наконечника до застывания геля.

Важным является также подбор концентрации под задачи исследования.

Принципы выбора концентрации под длину фрагментов

Процентное содержание агарозы определяет плотность полимерной сетки геля и подбирается под размер целевой ДНК.

  • 0,7-0,8% гель. Обладает крупными порами, оптимален для разделения высокомолекулярных фрагментов и геномной ДНК (от 5 до 20 тысяч пар нуклеотидов, т.п.н.).
  • 1,0-1,2% гель. Универсальная рабочая концентрация для большинства рутинных задач и стандартных ПЦР-тестов (от 500 пар нуклеотидов до 10 т.п.н.).
  • 1,5-2,0% гель. Имеет плотную структуру, необходим для точного анализа коротких фрагментов и малых продуктов амплификации (от 100 до 500 пар нуклеотидов).

Это наиболее часто используемые параметры подготовки гелей, на практике применяют гель с концентрацией от 0,5 до 4%.

Утилизация отработанного геля

Отработанный агарозный гель относится к медицинским отходам (в зависимости от регламента лаборатории — класса Б или Г) из-за обязательного использования флуоресцентных красителей ДНК, таких, как бромистый этидий или его безопасные аналоги (GelRed, SYBR Green). Запрещено выбрасывать гель в бытовой мусор или смывать в раковину. Пластины геля собирают в специализированные герметичные контейнеры или пакеты для токсичных/биологических отходов, которые передаются на централизованное уничтожение (высокотемпературное сжигание или автоклавирование утилизирующей компанией).

Технические характеристики

Параметр Значение
Электроэндоосмос (EEO) ≤ 0,13
Температура гелеобразования (1,5% гель) 36 ±1,5 °C
Температура плавления (1,5% гель) 88 ±1,5 °C
Прочность геля (1% гель) ≥ 1200 г/см²
Массовая доля влаги ≤ 10%
Содержание сульфатов ≤ 0,15%
Зольность ≤ 0,5%
Внешний вид Порошок белого или светло-кремового цвета
Растворимость (1 г / 100 мл H₂O) Полная, раствор прозрачный бесцветный
Отсутствие примесей Отсутствуют ДНКазы, РНКазы, протеазы, ингибиторы эндонуклеаз/лигаз

Специалисты компании Диаэм помогут оптимизировать ваши протоколы электрофореза. Консультанты компании предоставят экспертные рекомендации по подбору оптимального типа буфера (TAE или TBE), расчету безопасного вольтажа для четкого разделения фрагментов. И подберут оптимальные решения по проектированию и настройке систем рециркуляции буфера для проведения длительных и препаративных электрофорезов.​

CDH, Индия
Агароза, низкий EEO, для молекулярной биологии, (аналоги: арт. 1952.0025, арт. 1952.0050ДУ, арт. 1952.0100, diaGene)
911120 .10 gm
10 г
911120 .25 gm
25 г
4 244 руб.
54,= USD
911120.100 gm
100 г
14 475 руб.
185,= USD
911120 .500 gm
500 г
28 556 руб.
365,= USD

Высокоочищенная агароза с низким EEO, подхоит для разделения нуклеиновых кислот в диапазоне от 100 до 25 000 п.н., с низким фоном окрашивания; можно использовать также для проверки продуктов ПЦР и плазмид, иммуноэлектрофореза и др. фореза.

Характеристики

  • Электроэндоосмос, EEO — 0,09- 0,13;
  • температура полимеризации (1.5% геля), °C — 36+1,5;
  • влажность, % — 10;
  • зола, % — 0,5;
  • сульфаты, % — 0,15;
  • белый порошок;
  • прочность 1,5% геля, г/см — 1200;
  • не содержит ДНКазы, РНКазы, протеазы.
diaGene, Россия
Агароза, низкий EEО, D2, повышенная температура гелеобразования, имп.
1949.0025
25 г
1949.0100
100 г
16 186 руб.
178,= EUR
1949.0250
250 г
1949.0500
500 г
1949.1000
1 кг
Для разделения фрагментов НК более 1000 п.н.; для электрофореза НК и белкового электрофореза. Повышенная температура гелеобразования придает гелю большую устойчивость.


Скачать:
Агарозы D2 и FP DNA, техническая инструкция, англ., 1 стр., 69 kB


См. также:
Таблица выбора агарозы в зависимости от размеров целевых фрагментов.




Содержание ДНКаз/ РНКаз/протеаз не обнаружено
Электроэндоосмос, ЕЕО не более 0,14
Точка плавления 1,5 % геля, °C 87 ± 1,5
Температура гелеобразования 1,5 % геля, °C 42 ± 1,5
Зола, % не более 0,4
Влажность, % не более 8
Сульфаты, % 0,2
Прочность геля 1 %, г/см² не менее 900
Прозрачность 1,5%, NTU не более 3
Условия хранения при комнатной температуре

Индекс риска

R10Огнеопасно
R36/37/38Раздражает глаза, органы дыхания и кожу
Индекс риска (R)
10-36/37/38

Индекс безопасности

S16Хранить вдали от источников возгорания — Не курить
S26В случае попадания в глаза немедленно промыть глаза большим количеством воды и обратиться за медицинской помощью
S36Наденьте соответствующую защитную одежду
Индекс безопасности (S)
16-26-36
911200.5g
5 г
911200.10g
10 г
9 053 руб.
116,= USD
911200.25g
25 г
15 938 руб.
203,= USD
911200.100g
100 г
57 901 руб.
739,= USD

Данный вид агарозы имеет пониженную температуру плавления (легкоплавкая), подходит для разделения фрагментов ДНК размером менее 1000 п.н. и может различать фрагменты размером до 8 п.н.

Характеристики

  • Электроэндоосмос, EEO — 0,1;
  • температура плавления (4% геля), °C — около 65;
  • влажность, % — 10;
  • зола, % — 0,5;
  • сульфаты, % — 0,2;
  • белый порошок;
  • температура полимеризации (4% геля), °C — около 35;
  • не содержит ДНКазы, РНКазы, протеазы.
diaGene, Россия
Агароза, средний EEO, D1, (аналог арт. 911050.10gm, CDH)
1948.0025
25 г
3 632 руб.
40,= EUR
1948.0100
100 г
1948.0250
250 г
1948.0500
500 г
48 941 руб.
539,= EUR
1948.1000
1 кг
Для разделения фрагментов НК более 1000 п.н.; для электрофореза НК и белкового электрофореза.

Скачать:
Агароза D1, техническая инструкция, англ., 1 стр., 95 kB


См. также:
Таблица выбора агарозы в зависимости от размеров целевых фрагментов.




Содержание ДНКаз/ РНКаз/протеаз не обнаружено
Электроэндоосмос, ЕЕО 0,16 - 0,19
Точка плавления 1,5 % геля, °C 88 ± 1,5
Температура гелеобразования 1,5 % геля, °C 36 ± 1,5
Влажность, % не более 7
Зола, % не более 0,5
Сульфаты, % 0,14
Прочность геля 1 %, г/см² не менее 1000
Прозрачность 1,5%, NTU не более 4
Условия хранения при комнатной температуре

Индекс риска

R10Огнеопасно
R36/37/38Раздражает глаза, органы дыхания и кожу
Индекс риска (R)
10-36/37/38

Индекс безопасности

S16Хранить вдали от источников возгорания — Не курить
S26В случае попадания в глаза немедленно промыть глаза большим количеством воды и обратиться за медицинской помощью
S36Наденьте соответствующую защитную одежду
Индекс безопасности (S)
16-26-36
CDH, Индия
Агароза, средний EEO, тип II, для молекулярной биологии, (аналоги: арт. 1948.0025, арт. 1948.0100, арт. 1948.0250, diaGene)
911050.10 gm
10 г
5 106 руб.
65,= USD
911050.25 gm
25 г
10 212 руб.
130,= USD
911050.100 gm
100 г
40 794 руб.
521,= USD
911050.500 gm
500 г
80 141 руб.
1 023,= USD

Высокоочищенная агароза со средним EEO подходит для разделения белков методами иммунодиффузии и иммуноэлектрофореза.

Характеристики

  • Электроэндоосмос, EEO — 0,16- 0,19;
  • температура полимеризации (1.5% геля), °C — 36+1,5;
  • влажность, % — 10;
  • зола, % — 1;
  • сульфаты, % — 0,2;
  • белый порошок;
  • прочность 1,5% геля, г/см — 1500;
  • не содержит ДНКазы, РНКазы, протеазы.
Импорт
Бромфеноловый голубой, CAS 115-39-9, не менее 95%
U115399.0005
5 г
710 руб.
9,= USD
U115399.0025
25 г
U115399.0100
100 г
U115399.0500
500 г
36 343 руб.
464,= USD
U115399.15000ду
15 кг


Синонимы Тетрабромфенолсульфофталеин
CAS-No. 115-39-9
Химическая формула C₁₉H₁₀Br₄O₅S
Молекулярная масса, г/моль 669,98
Внешний вид коричнево-розовый порошок
Диапазон рН перехода окраски, рН 3,0-4,6 (от зелено-желтой к сине-фиолетовой)
Растворимость 0,1% (в этаноле) прозрачный желтый раствор
Абсорбирующая способность 1%, 1 см: рН 3,0 при λ макс 436,0 нм 350 - 385 рН 4,6 при λ макс 591,0 нм 940 - 1000
Потери при высушивании, 110°C, 1 ч, % 1
Условия хранения комнатная температура

Индекс риска

R61Может причинить вред эмбриону
R20/21Опасно при вдыхании и попадании на кожу
R36Вызывает раздражение глаз
R36/37/38Раздражает глаза, органы дыхания и кожу
R20/21/22Опасно при вдыхании, попадании на кожу и проглатывании
Индекс риска (R)
61-20/21-36-36/37/38-20/21/22

Индекс безопасности

S53Избегать контакта — перед использованием получить специальные инструкции
S45В случае аварии или при плохом самочувствии немедленно обратиться за медицинской помощью (по возможности предъявить этикетку материала)
S24/25Избегать попадания на кожу и в глаза
S22Не вдыхать пыль
S36Наденьте соответствующую защитную одежду
S26В случае попадания в глаза немедленно промыть глаза большим количеством воды и обратиться за медицинской помощью
Индекс безопасности (S)
53-45-24/25-22-36-26
3012
1 мл
583 руб.
583 руб. RUB
Буфер для хранения и нанесения образцов, содержит 2 красителя для оценки подвижности в геле,
состав: 12,5 % глицерин, 0,008% бромфеноловый синий, 0,008% ксиленцианол, 5 мМ ЭДТА, 10 мМTris-HCl (pH 8,0).

3013
1 мл
583 руб.
583 руб. RUB
Буфер для хранения и нанесения образцов, содержит 3 красителя для оценки подвижности в геле,
состав: 60 % глицерин, 0,003% бромфеноловый синий, 0,003% ксиленцианол, 0,15% оранжевый G, 60 мМ ЭДТА, 10 мМTris-HCl (pH 7,6).
G3375-1ML
1 мл
226 руб.
20 CNY

10-кратный буфер для загрузки образцов ДНК в гель, содержит красный краситель в качестве индикатора движения образца ДНК. Миграция красителя в 1×TAE буфере и 1% агарозном геле примерно 370 пн, и в 1×TBE буфере и 1% агарозном геле примерно 220 пн.

Условия хранения и транспортировки: при комнатной температуре, срок годности — 24 мес.

Фасовка, мл — 1.

G3376-1ML
1 мл
339 руб.
29 CNY

10-кратный буфер для загрузки образцов ДНК в гель, содержит два красителя: красный и оранжевый в качестве индикаторов движения образца ДНК в геле. Миграция красного красителя в 1×TAE буфере и 1% агарозном геле примерно 370 пн, а в 1×TBE буфере и 1% агарозном геле примерно 220 пн. Миграция оранжевого красителя в 1×TAE или 1×TBE буфере и 1% агарозном геле до 100 пн.

Условия хранения и транспортировки: при комнатной температуре, срок годности — 24 мес.

Фасовка, мл — 1.

1610743
1 л
24 772 руб.
273,= EUR
1610773
5 л
49 998 руб.
551,= EUR
Предназначен для нативного и денатурирующего электрофореза ДНК и нативного электрофореза РНК в агарозном и полиакриламидном гелях. В отличие от ТВЕ-буфера, не влияет на активность ДНК-модифицирующих ферментов. Приготовлен на деионизованной воде (18 МОм). 1-кратный буфер содержит 40 мМ Трис, 20 мМ ацетат и 1 мМ ЭДТА, рН 8.0. Фасовка 5 л поставляется в кубическом контейнере.
Ваш заказ будет обработан
в ближайшее время.
Мы пришлем уведомление, как только все будет готово. Спасибо!