Top.Mail.Ru
armenia@dia-m.ru 8 (800) 234-05-08
(+374 94) 010173
Ваш регион Москва?

Вернуться назад

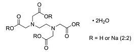
ЭДТА динатриевая соль дигидрат, CAS 6381-92-6, 99,5%, для молекулярной биологии (аналоги: арт. 1669KG001, арт. 1108KG001, neoFroxx) CDH, Индия

Артикул Цена, руб. Наличие на складе Количество
932500.100gm
New
100 г 2 019 9 926,=AMD Под заказ
Артикул Цена, руб. Наличие на складе Количество
932500.500 gm
New
500 г 4 636 22 795,=AMD Под заказ
Аналоги данного товара

Описание

Аналоги

Оплата и доставка

Раскрыть описание
По запросу
1669KG001
Нет в наличии
11 856 руб.

Доставка

Доставка осуществляется по всей России и странам СНГ. Возможен самовывоз со склада по адресу Московская область, г. Мытищи, 7-й Ленинский переулок, д.13. Доставка по Москве и Московской области осуществляется бесплатно.

Цена товара указана со склада в Москве и не включает расходы на доставку в другие города.

Вы можете выбрать способ доставки в личном кабинете, чтобы он автоматически указывался при оформлении всех последующих заказов. При выборе варианта «Транспортная компания по выбору клиента» укажите в комментариях транспортную компанию, с которой вы предпочитаете работать.

Точная стоимость доставки рассчитывается менеджером при подтверждении заказа в зависимости от весообъемных характеристик и дальности. Товары, требующие особого температурного режима, доставляются с соблюдением требуемых условий. Если в заказе есть прекурсоры, необходимо оформить официальное письмо об отпуске прекурсоров. (образец письма об отпуске прекурсоров)


Оплата

Компания Диаэм работает с юридическими и физическими лицами. После оформления заказа продавец-консультант сформирует счет и направит его вам по электронной почте и на страницу заказа в Личном кабинете на сайте. Вы также можете сами сформировать счет из Корзины, авторизовавшись на сайте. Счет оплачивается через банк. Вы можете оплатить товар в кассе Диаэм или любом отделении банка.

Для получения товара необходимо предоставление доверенности организации, а для получения товара при оплате физическим лицом необходим паспорт.

CAS-No. 6381-92-6
Химическая формула C₁₀H₁₄N₂O₈Na₂×2H₂O
Молекулярный вес, г/моль 372,24
Содержание основного вещества, % Не менее 99,5
Внешний вид Белый кристаллический порошок
Растворимость 5%-ный раствор в воде является прозрачным и бесцветным
рН (5%-ный раствор в воде) Не менее 4,3 – 4,7
Абсорбция 0,1 м ак. зольн. при 260 нм Не более 0,2
Абсорбция 0,1 м ак. зольн. при 280 нм Не более 0,02
Потери при сушке (при температуре 150 °C в течение 6 часов), % Не более 9-10
Нерастворимые вещества, % Не более 0,005
Нитрилотриуксусная кислота, % Не более 0,025
Хлориды, % Не более 0,004
Железо, % Не более 0,001
ДНК-азы, РНК-азы, протеазы и фосфотазы Не детектированы

Раскрыть анкету для отправки запроса

Подобрать аналог, задать вопрос

Поле обязательно к заполнению Некорректный формат
Поле обязательно к заполнению Некорректный формат
Поле обязательно к заполнению
Поле обязательно к заполнению
Аналоги данного товара
По запросу
1669KG001
Нет в наличии
11 856 руб.
С этим товаром покупают
3751.1000/1115.1000
Нет в наличии
3751.5000/1115.5000
Нет в наличии
3751.25000/1115KG025
Нет в наличии
10 690 руб.
По запросу
По запросу
LC-4522.5
Нет в наличии
LC-4522.1
Нет в наличии
LC-4522.2
Нет в наличии
LC-4522.3
Нет в наличии
По запросу
По запросу
По запросу
По запросу
1154KG001
Нет в наличии
9 718 руб.
998905.1 gm
Нет в наличии
23 072 руб.
641265.250 gm
Нет в наличии
7 223 руб.
011310-0,1
Нет в наличии
011310-0,05
Нет в наличии
011310-0,5
Нет в наличии
7 000 руб.
По запросу
34 700 руб.
Х170.500
Нет в наличии
3 462 руб.
Ваш заказ будет обработан
в ближайшее время.
Мы пришлем уведомление, как только все будет готово. Спасибо!